NUEVOS EDIFICIOS PARQUE OLIMPICO (CIUDAD AUTONOMA DE BS. AS.)
En la zona del Parque Olímpico / Villa Olímpica (entre Villa Lugano, Riachuelo y Soldati, Comuna 8), actualmente se construyeron nuevos edificios de uso educativo y deportivo. Esto forma parte de la revitalización urbana del sur de la Ciudad de Buenos Aires
Este proyecto consta de 3 edificios destinados a distintos usos:
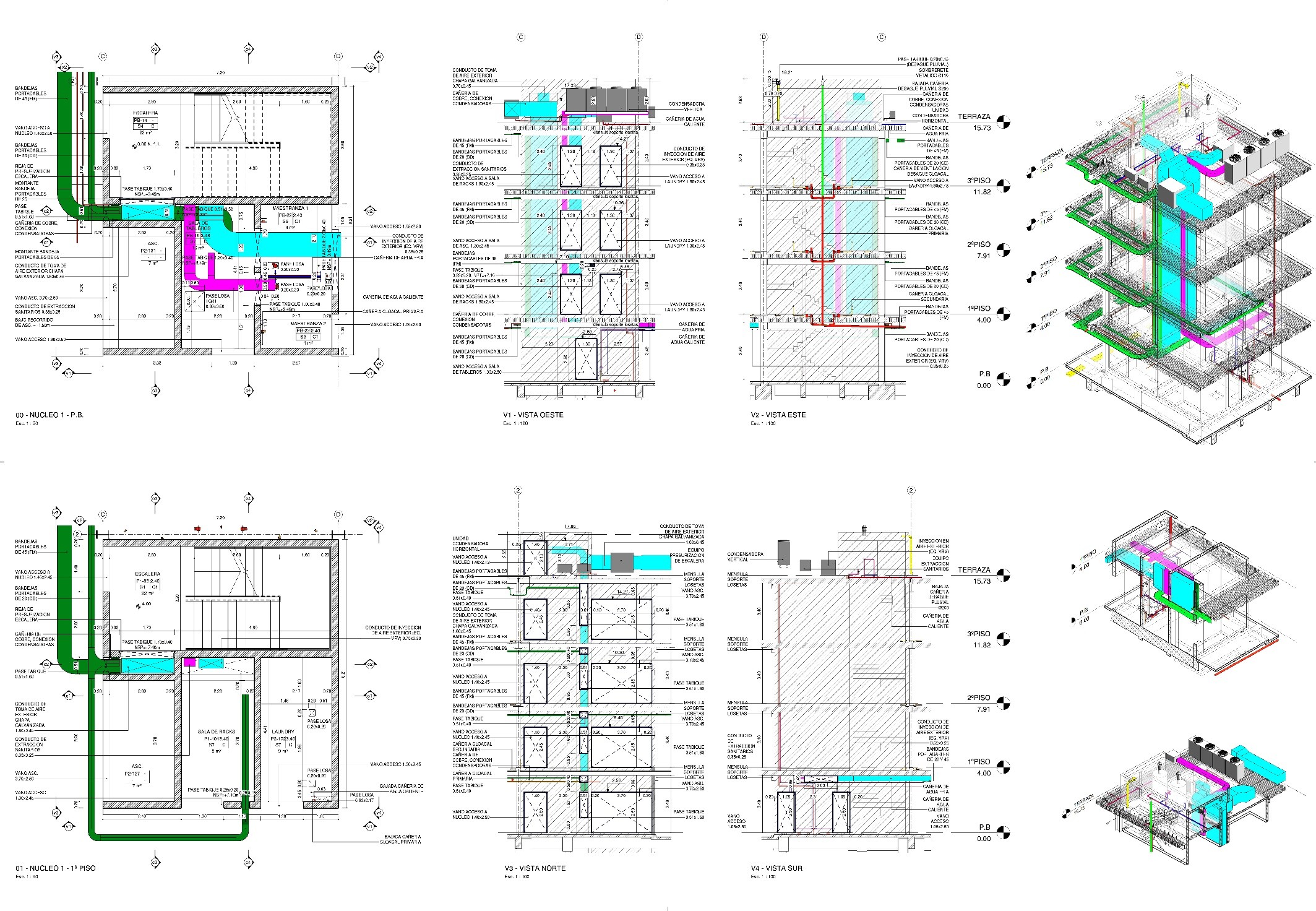
- Nuevo Edificio de Hotel y Comedor: en la planta baja se desarrolla un comedor para 247 personas, con el servicio de cocina bufet con depósitos y vestuarios para el personal. Se encuentra el SUM y áreas de sanitarios comunes. Un lobby con área administrativa y el acceso a las habitaciones que se encuentran en el 1ero, 2do y 3er piso. En el 1er piso se encuentra otro SUM para actividades recreativas y dormitorios. El 2do y 3er piso son de uso exclusivo de dormitorios.
- Nuevo Edificio IUSE: Instituto Universitario de Seguridad que en la planta baja se encuentra un hall principal con área de cafetería, un SUM y áreas de servicio (cocina, vestuarios y sanitarios de uso común). Se encuentra el acceso a las aulas y áreas administrativas que se desarrollan en el 1er, 2do y 3er piso. En todos los pisos hay sanitarios de uso común. En el 1er piso hay aulas y aula magna. En el 2do piso aulas, laboratorios y una terraza. En el 3er piso aulas, laboratorios y el sector administrativo.
- Nuevo Edificio de Ciencias: es un edificio de una sola planta que se divide en consultorios y diagnostico por imágenes, y áreas destinadas a actividades de rehabilitación (piletas, sauna, vestuarios, gimnasio, correderas, área de kinesiología).
Equipo de Proyecto
Ministerio de Desarrollo Urbano y Transporte
Constructora Sudamericana
Ajuste del Proyecto y Documentación Ejecutiva BIM
Estudio Arqs Flah y Asociados









MEP




